09 октября
Высшие гармоники в электросетях
Высшие гармоники в сети.
В связи с быстрым ростом применения устройств использующих в своей схеме тиристоры, которые часто генерируют в сеть гармоники, появилось достаточно большое количество возмущений в электросетях.Эти возмущения приводят к систематическому недопроизводству, а то и сбоям производственного оборудования. Поэтому, необходимо использовать фильтры гармоник для предотвращения роста уровня нелинейных искажений в сети, поглощения (тепловыделения) гармоник, а также для рационального использования электроэнергии.
Что такое гармоники?
Искаженная кривая тока или напряжения может быть разложена на фундаментальную синусоиду (50 Гц) и сумму определенного количества частот кратных 50 Гц. Например 250 Гц – 5-я гармоника и 350 Гц - 7-я гармоника.Сумма определенного количества частот, которые могут быть добавлены к синусоиде 50 Гц для получения существующей формы тока или напряжения и называется гармониками. Соответственно при изменении их амплитуды, фазы и частоты изменяется кривая тока или напряжения как результат синтеза гармоник.
Нелинейные искажения проявляются как изменение синусоидальности кривой тока или напряжения. Частоты выше фундаментальной (50 Гц) называются гармониками, частоты ниже фундаментальной называются субгармониками.
Для примера на рисунке ниже искаженная кривая представлена как сумма фундаментальной частоты 50 Гц и суммы гармоник 5-ой (250 Гц) и 7-ой (350 Гц).
Искаженная кривая = 50 Гц основная частота + 5-я гармоника (250 Гц) + 7-я гармоника (250 Гц)
Источники (усилители) гармоник
- Тиристорные контроллеры
- Частотные приводы
- Устройства плавного пуска двигателя
- Конденсаторные установки для компенсации реактивной мощности (без фильтров)
- Полупроводники
- Дуговая сварка
- Трансформаторы, реакторы
- Нелинейная нагрузка искажающая форму кривой тока, что генерирует гармоники
Процесс инжиниринга для подавления гармоник
- Сбор данных (состояние системы, гармонический спектр, THD предел)
- Построение карты импедансов системы
- Расчет импеданса гармоникам и определение порядка фильтра
- Расчет перетоков гармоник
- Отработка на специализрованном ПО
- Проверка возможных ненормальных резонансов в системе, и вероятности усиления гармоник
- Разработка и производство системы подавления гармоник
- Проверка системы после инсталляции
- Отчет о проделанных измерениях и внедренном оборудовании
Искажения (возмущения) вносимые гармониками
Гармоники генерируемые источниками не остаются в системе а проявляются в соседних связанных электросетях и могут приводить к катастрофическим последствиям в других системах.- Перегрев и выход из строя трансформаторов
- Увеличение тока, или перегрузка током конденсаторов и шум
- Сбои в работе систем контроля
- Изменение напряжения
- Перегрузка вращающихся устройств
- Ошибки срабатывания автоматических выключателей
- Ошибки в коммуникационном оборудовании
- Большой ток в нейтрали и низкое напряжение между фазой и PE
Что такое фильтр гармоник?
Фильтр гармоник – устройство, которое подавляет и потребляет гармоники генерируемые различным оборудованием. Он состоит из резистора, катушки индуктивности (реактора ) и конденсатора.Типовой фильтр гармоник состоит из одиночных шунтирующих фильтров для гармоник низкого порядка (3-15 я). Эти фильтры настроены на частоту гармоники, которую они подавляют. Для гармоник более высокой частоты, устанавливаются дополнительные фильтры.
Эффективность фильтров гармоник.
- Улучшение cos (φ) в сети (уменьшаются перетоки реактивной мощности, улучшается эффективность использования электроэнергии и как следствие снижаются затраты)
- Подавление (вытягивание) гармоник из сети
- Решение проблемы резонанса между индуктивностями и емкостями в системе
- Увеличение производительности и срока службы оборудования на производстве вследствие контроля за качеством напряжения
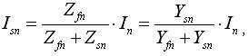
In - Генерируемый гармонический ток Zfn -
Ifn - Гармонический ток на входе в фильтрующую систему
Isn - Гармонический ток поступающий в цепь трансформатора (генератора) – источника
питания
Zfn – Входной импеданс фильтра (по отношению к гармоникам)
Zfn – Входной импеданс трансформатора (по отношению к гармоникам)
Европейский стандарт содержания гармоник в сети
| Напряжение системы | менее 35 кВ | Более 35 кВ |
| THD U[%] | 3% | 1,5% |
Предельные значения THDI %, в зависимости от тока короткого замыкания Iкз и максимального потребляемого тока I п. макс.
| Iкз / I п. макс. * | <11 ** | 11≤h<17 | 17≤h<23 | 23≤h<35 | 35≤h | THD |
|---|---|---|---|---|---|---|
| <20*** | 4,0 | 2,0 | 1,5 | 0,6 | 0,3 | 5,0 |
| 20<50 | 7,0 | 3,5 | 2,5 | 1,0 | 0,5 | 8,0 |
| 50<100 | 10,0 | 4,5 | 4,0 | 1,5 | 0,7 | 12,0 |
| 100<1000 | 12,0 | 5,5 | 5,0 | 2,0 | 1,0 | 15,0 |
| >1000 | 15,0 | 7,0 | 6,0 | 2,5 | 1,4 | 20,0 |
* - Максимальное искажение по току в % I п. макс. (первой гармоники = 50 Гц)
** - Порядок гармоники (нечетные)
*** - Все энергогенерирующее оборудование ограничивается значениями нелинейных искажений по току в зависимости величины отношения тока короткого замыкания Iкз и максимального потребляемого тока I п. макс.Примечание
- Четные гармоники лимитируются на уровне 25% от величины нечетной гармоники- Нелинейные искажения по току могут проявляться как появление постоянной составляющей в синусоиде, что приводит к перегреву (перенасыщению) силовых трансформаторов постоянным током, поэтому применение однополупериодных схем выпрямления (конвертеров) не допустимо.
Предельные значения нелинейных искажений по напряжению (IEEE Std 519-1992)
| Напряжение на шинах | Нелинейные искажения по гармоникам, % | THD, % |
|---|---|---|
| 69 кВ и ниже | 3,0 | 5,0 |
| от 69,001 кВ до 161кВ | 1,5 | 2,5 |
| свыше 161,001 кВ | 1,0 | 1,5 |











